Linear Integrated Circuit: Experiment No: 4 Study of Differentiator using Operational Amplifier.
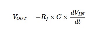
Object: Study of Differentiator using Operational Amplifier. Apparatus Required: Bread Board, 741 IC, ±12V supply, Resistors, Capacitor and connecting leads.…
